Ответы
Ответ дал:
1
Пошаговое объяснение:
можно лучший ответ пожалуйста
Приложения:

Ответ дал:
0
Ответ:
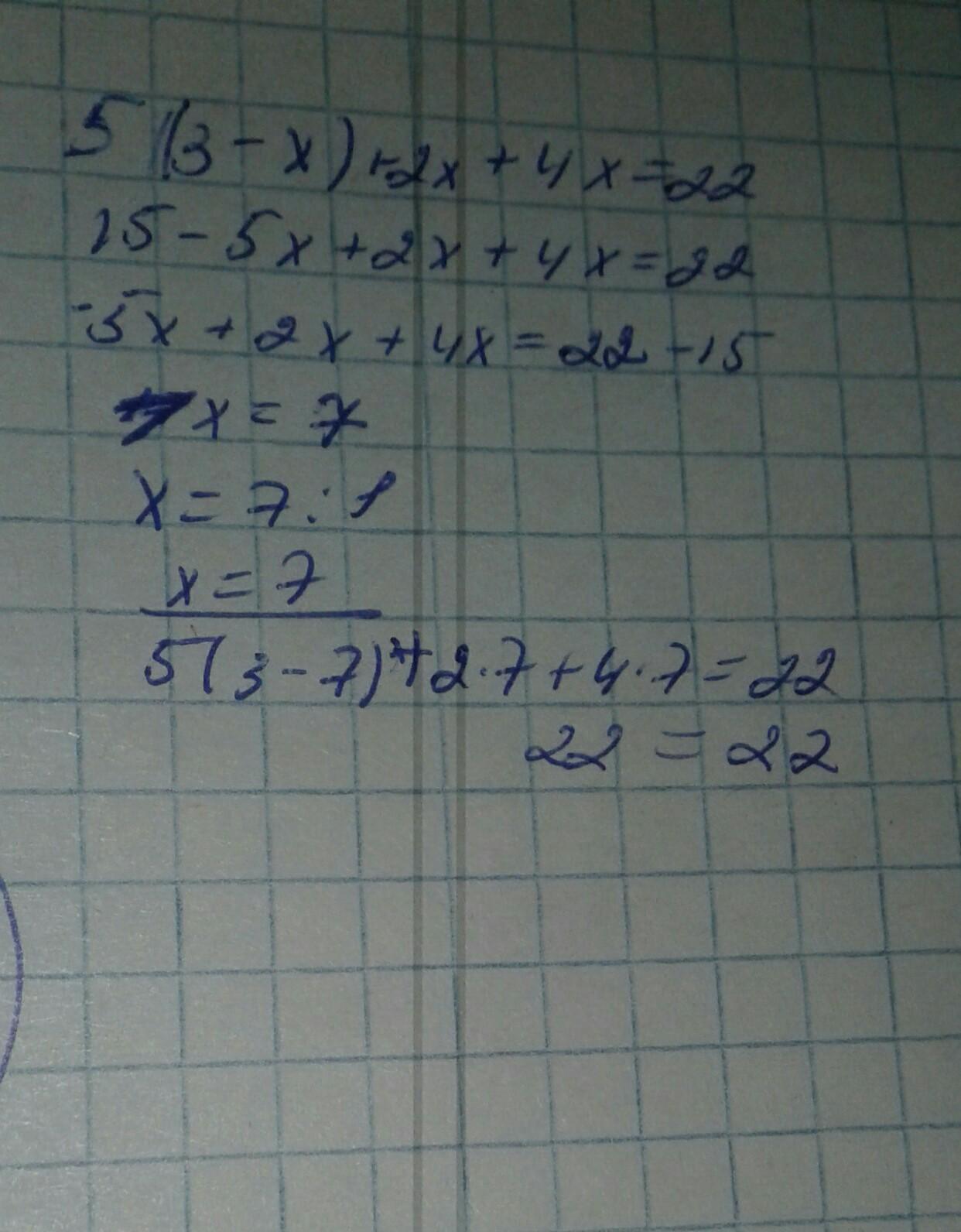
Пошаговое объяснение:
15 - 5х + 2х + 4х = 22
-5х + 2х + 4х = 22 - 15
х = 7
Вас заинтересует
2 года назад
2 года назад
2 года назад
8 лет назад
8 лет назад
9 лет назад