Ответы
Ответ дал:
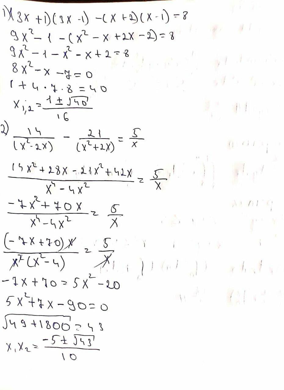
1
Ответ:
Пошаговое объяснение:
Приложения:

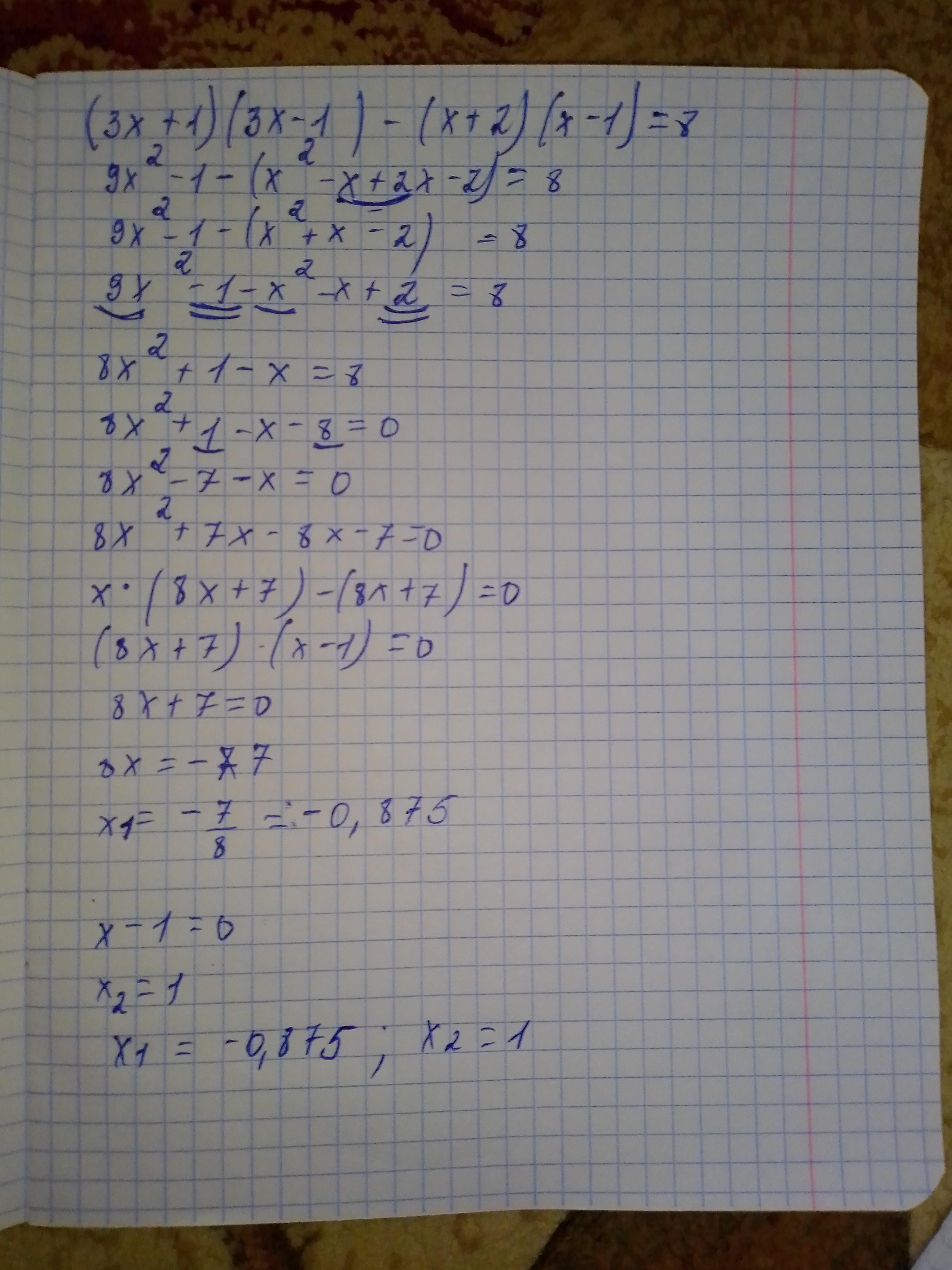
Ответ дал:
2
Здравствуйте я первое смогла,но второе не смогла.Но могу сказать что первое точно правильно.
УДАЧИ!!!
Приложения:

Вас заинтересует
2 года назад
2 года назад
2 года назад
8 лет назад
9 лет назад
9 лет назад