• Предмет: Математика
  • Автор: hrapdv358
  • Вопрос задан 3 года назад

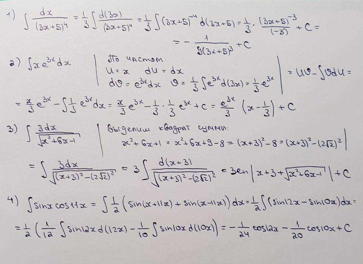
Отчислить интегралы высшая математика.
1;2;3;4- задания.

Приложения:

Ответы

Ответ дал: Miroslava227
1

Ответ:

решение на фотографии.

Приложения:
Вас заинтересует