• Предмет: Математика
  • Автор: malifisenta82z
  • Вопрос задан 3 года назад

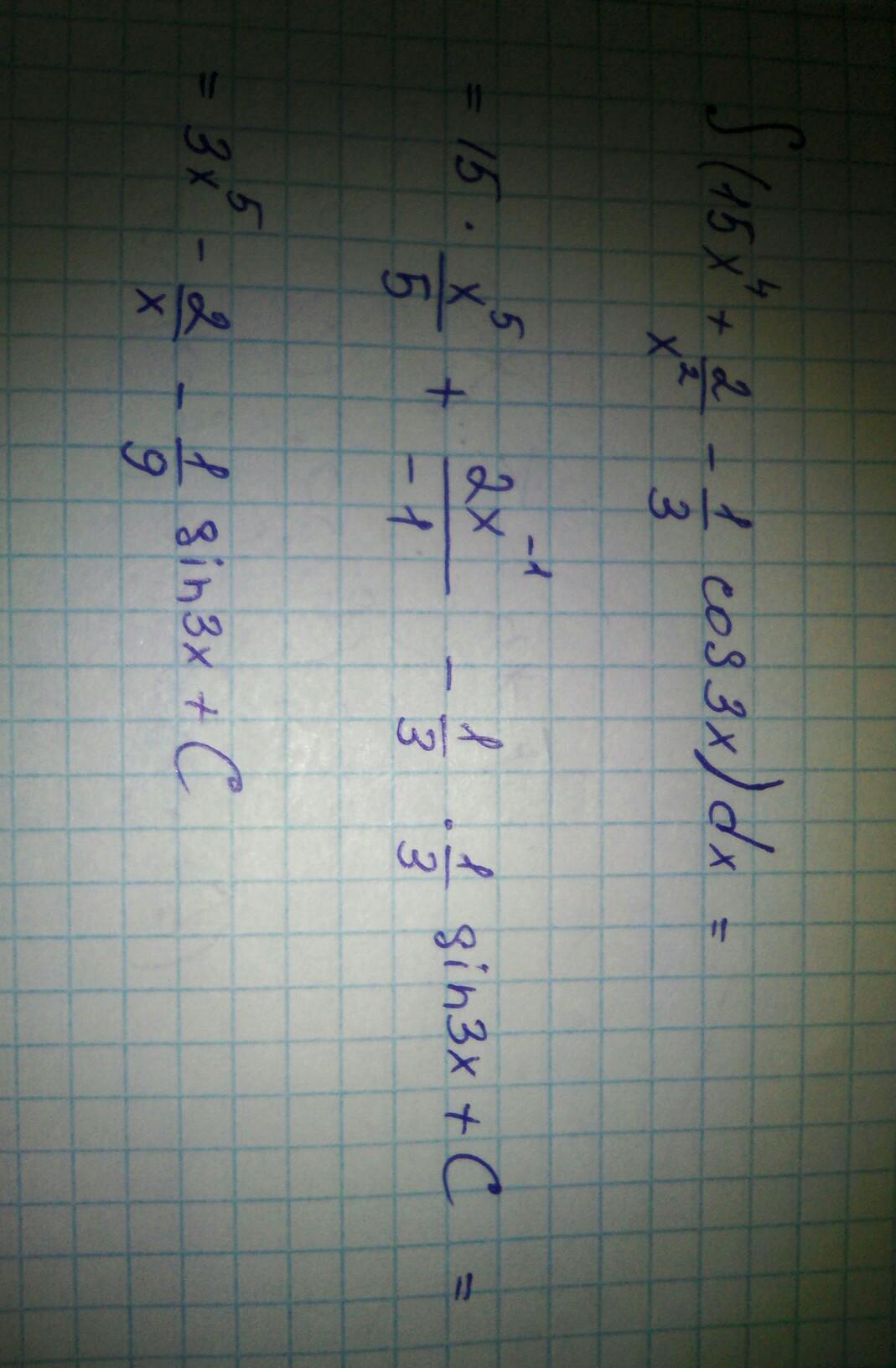
Найдите неопределённый интеграл:

Приложения:

Ответы

Ответ дал: NNNLLL54
0

Ответ:

\int \Big (15x^4+\dfrac{2}{x^2}-\dfrac{1}{3}\, cos3x\Big)\, dx=15\cdot \dfrac{x^5}{5}+\dfrac{2x^{-1}}{-1}-\dfrac{1}{3}\cdot \dfrac{1}{3}\, sin3x+C=\\\\\\=3x^5-\dfrac{2}{x}-\dfrac{1}{9}\, sin3x+C

Ответ дал: Аноним
1

Ответ:

Решение смотри на фотографии

Приложения:
Вас заинтересует