• Предмет: Математика
  • Автор: 044youngsavage
  • Вопрос задан 3 года назад

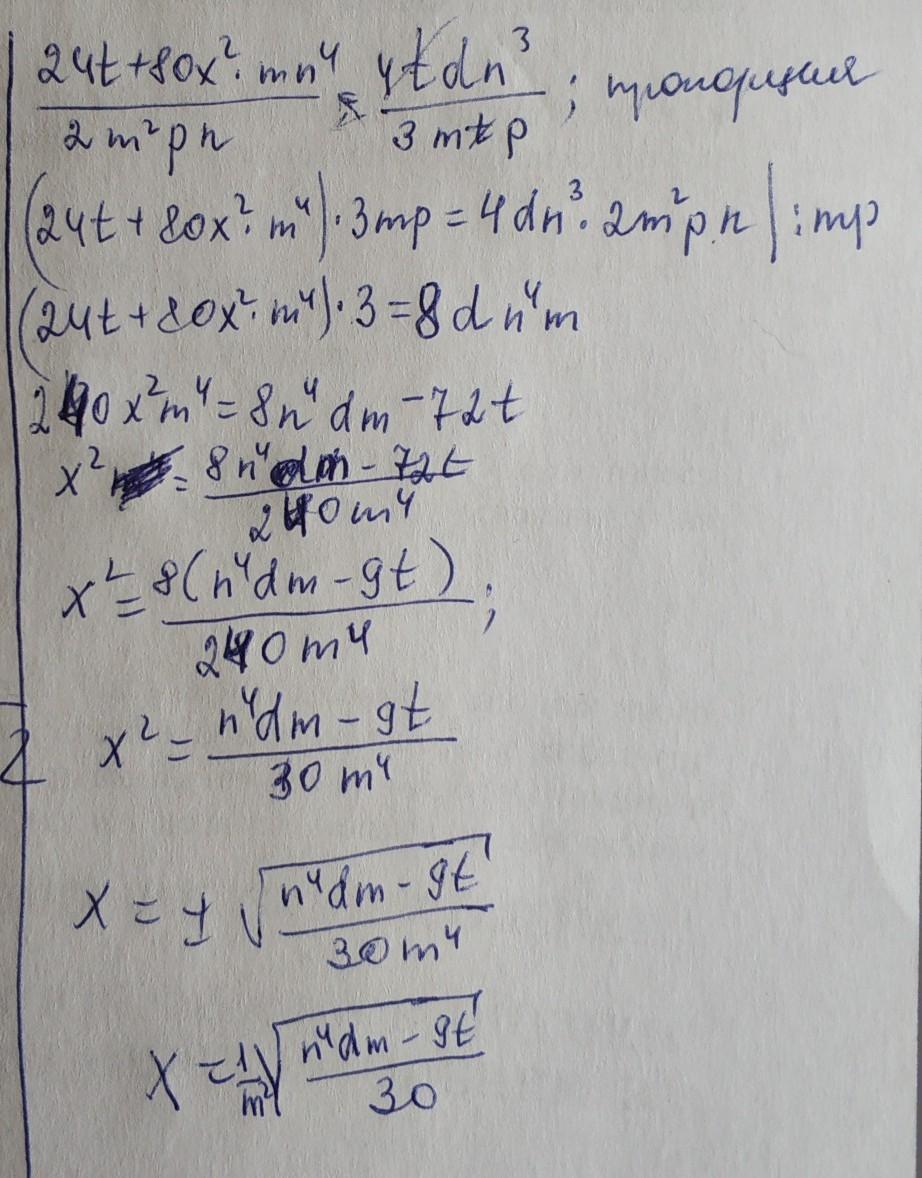
помогите выразить икс

Приложения:

Ответы

Ответ дал: kirichekov
1

Ответ:

 x =   \frac{1}{ {m}^{2} } \sqrt{ \frac{ {n}^{4}dm - 9t }{30} }

Пошаговое объяснение:

решение во вложении....

Приложения:

044youngsavage: Спасибо
kirichekov: успехов вам в учебе
Вас заинтересует