• Предмет: Алгебра
  • Автор: Аноним
  • Вопрос задан 11 лет назад

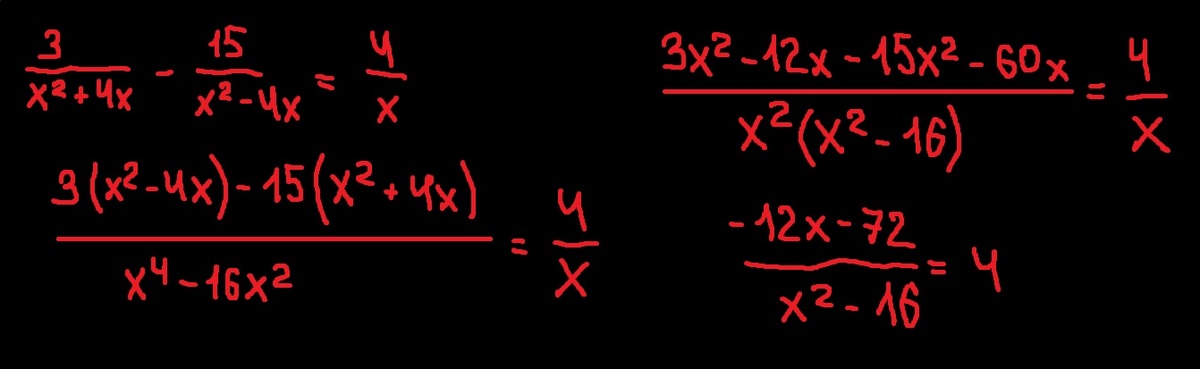
Решите уравнение: 3/x^2+4x-15/x^2-4x=4/x

Ответы

Ответ дал: Darklight
0
Решение на картинке во вложениях
Приложения:
Вас заинтересует