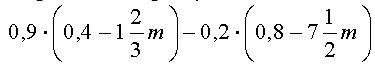
Помогите пж я решил и у меня получилось 0.52 правильно или нет?
Приложения:

helinia01:
Нет 0,2 или 1/5
якби було -0,36-0,16=-0,52
Ответы
Ответ дал:
1
Відповідь:
0.2
0,36-0,16=0,2
Покрокове пояснення:
Вас заинтересует
2 года назад
2 года назад
2 года назад
8 лет назад
8 лет назад
9 лет назад