• Предмет: Геометрия
  • Автор: juliaa23450
  • Вопрос задан 3 года назад

Знайдіть кординати вектора АВ та його модуля якщо А(1;5) В(6;-7)

Ответы

Ответ дал: masha190923
2

Ответ:

Вот

...................

Приложения:
Ответ дал: Alyonkaaa07
1

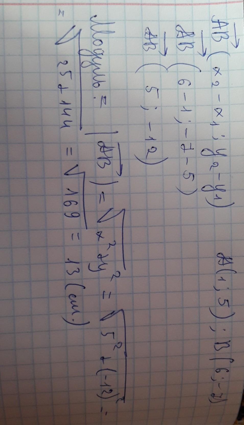
Відповідь:

Координати:(5;-12) Модуль:13

Пояснення:

Координати вектора:(6-1,-7-5)=(5;-12)

Модуль вектора: |a| = √(5^2 + (-12)^2)= √(25 + 144) = √169 = 13

Вас заинтересует