• Предмет: Алгебра
  • Автор: STAYkPOP
  • Вопрос задан 3 года назад

РЕШИТЕ УРАВНЕНИЕ 20 БАЛЛОВ!!!!

Приложения:

aliena2345: Скачай PhotoMath и не парься

Ответы

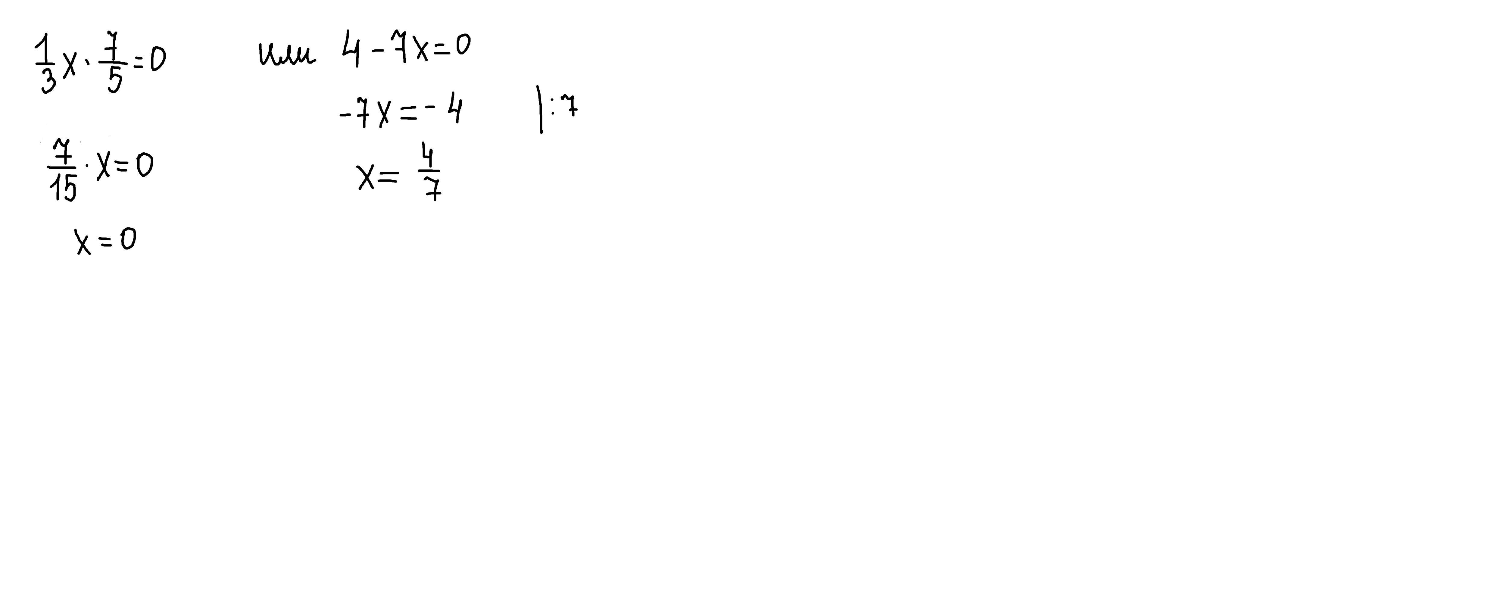
Ответ дал: vicky862
0

Ответ:

извините за почерк

Объяснение:

x=0

х=4/7

Приложения:
Ответ дал: parus77
0

Ответ:

х=0 или х= 4\7

Объяснение:

произведение равно 0,тогда,когда один из множителей равен 0

Приложения:
Вас заинтересует