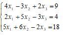
Дана система линейных уравнений. Решить систему
a) по формулам Крамера,
б) матричным способом.

Ответы
Решение системы по формулам Крамера.
x1 x2 x3 B
4 -3 2 9 Определитель
2 5 -3 4 39
5 6 -2 18
Заменяем 1-й столбец на вектор результатов B:
9 -3 2
4 5 -3 Определитель
18 6 -2 78
Заменяем 2-й столбец на вектор результатов B:
4 9 2
2 4 -3 Определитель
5 18 -2 117
Заменяем 3-й столбец на вектор результатов B:
4 -3 9
2 5 4 Определитель
5 6 18 195
x1= 78 / 39 = 2,
x2= 117 / 39 = 3,
x3= 195 / 39 = 5.
Определители проще находить методом " наклонные полоски".
Вот первый из них:
4 -3 2| 4 -3
2 5 -3| 2 5
5 6 -2| 5 6
4 5 -2 + -3 -3 5 + 2 2 6 -
-3 2 -2 - 4 -3 6 - 2 5 5 =
= -40 + 45 + 24 - 12 - -72 - 50 = 39.