• Предмет: Математика
  • Автор: Serafimka92
  • Вопрос задан 3 года назад

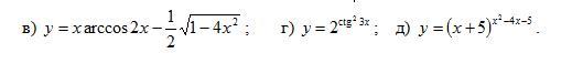
Найти производные заданных функций

Приложения:

Ответы

Ответ дал: Miroslava227
2

Ответ:

в

y' = x'\arccos(2x) +( \arccos(2x)) '\times x -  \frac{1}{2}  \times  \frac{1}{2}  {(1 - 4 {x}^{2} )}^{ -  \frac{1}{2} }  \times ( - 8x) =  \\  = \arccos(2x) -  \frac{1}{ \sqrt{1 - 4 {x}^{2} } }   \times 2 \times x -  \frac{1}{4 \sqrt{1 - 4 {x}^{2} } }  \times ( - 8x) =  \\  = \arccos(2x) -  \frac{2x}{ \sqrt{1 - 4 {x}^{2} } }  +  \frac{2x}{ \sqrt{1 - 4 {x}^{2} } }  = \arccos(2x)

г

y' =   ln(2)  \times {2}^{ {ctg}^{2} (3x)}  \times 2ctg(3x) \times ( -  \frac{1}{ \sin {}^{2} (3x) } ) \times 3 =  \\  =  -  \frac{3ctg(3x)}{ \sin {}^{2} (3x) }  \times  ln(2)  \times  {2}^{ {ctg}^{2} (3x)}

д

y =  {(x + 5)}^{ {x}^{2}  - 4x - 5}

y '= ( ln(y))'  \times y

( ln(y)) ' = ( ln(x + 5 ){}^{ {x}^{2}  - 4x - 5} )  '=  \\  = (( {x}^{2}  - 4x - 5)  \times  ln(x + 5)) ' =  \\  = (2x - 4) ln(x + 5)  +  \frac{1}{x + 5}  \times ( {x}^{2}  - 4x - 5)

y' =  {(x + 5)}^{ {x}^{2} - 4x - 5 }  \times ((2x - 4) ln(x + 5)  +  \frac{ {x}^{2}  - 4x - 5}{x + 5} ) \\


Serafimka92: Спасибон, а можешь пож ссылку на прогу кинуть?
Miroslava227: это на brainly. Встроенная. Я ввожу символы сама, и они выводятся в красивой форме
Miroslava227: но решение мое
Miroslava227: то есть это не калькулятор
Serafimka92: А понял, спасибо большое
Serafimka92: А можно ваш вк? :) :) :)
Serafimka92: в лс
Вас заинтересует