• Предмет: Алгебра
  • Автор: kublickijv80
  • Вопрос задан 3 года назад

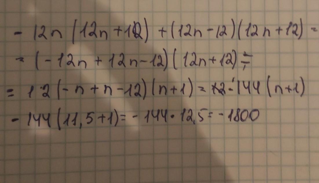
Упрости выражение и найди его значение при n=11,5.

−12n(12n+12)+(12n−12)(12+12n).

Ответ:
.​

Ответы

Ответ дал: kiraqp
0

Ответ:

-12 * 11,5 * (12 * 11,5 + 12) + (12 * 11,5 - 12) * (12 + 12 * 11,5) = -1.800

Ответ дал: nastyamilena10
1

Ответ:

-1800..................

Приложения:
Вас заинтересует