• Предмет: Алгебра
  • Автор: MonochromeButterfly
  • Вопрос задан 3 года назад

Нужна помощь с номером 2 (в) и 3, не очень понял что за формула во втором

Приложения:

Ответы

Ответ дал: manyny06
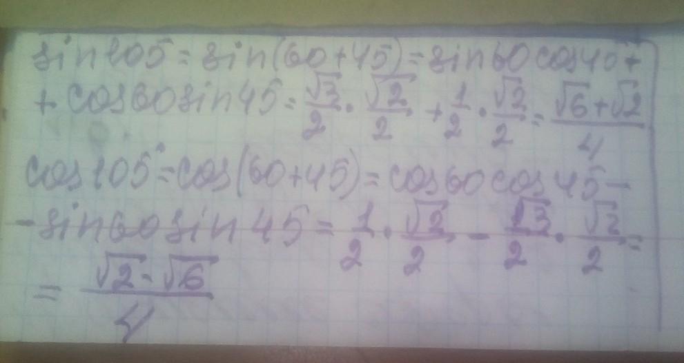
1

Ответ:

решение смотри на фотографии

Приложения:

MonochromeButterfly: а, довольно просто как оказалось) Спасибо огромное, выручили <3
Вас заинтересует