Ответы
Ответ дал:
1
Ответ:
Пошаговое объяснение:
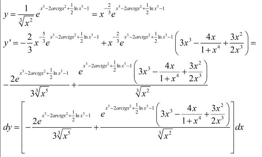
..........................................
Приложения:

regginanikolenko:
спасибо!
Вас заинтересует
2 года назад
2 года назад
2 года назад
8 лет назад
8 лет назад
9 лет назад
9 лет назад