Ответы
Ответ дал:
1
Ответ:
Объяснение:
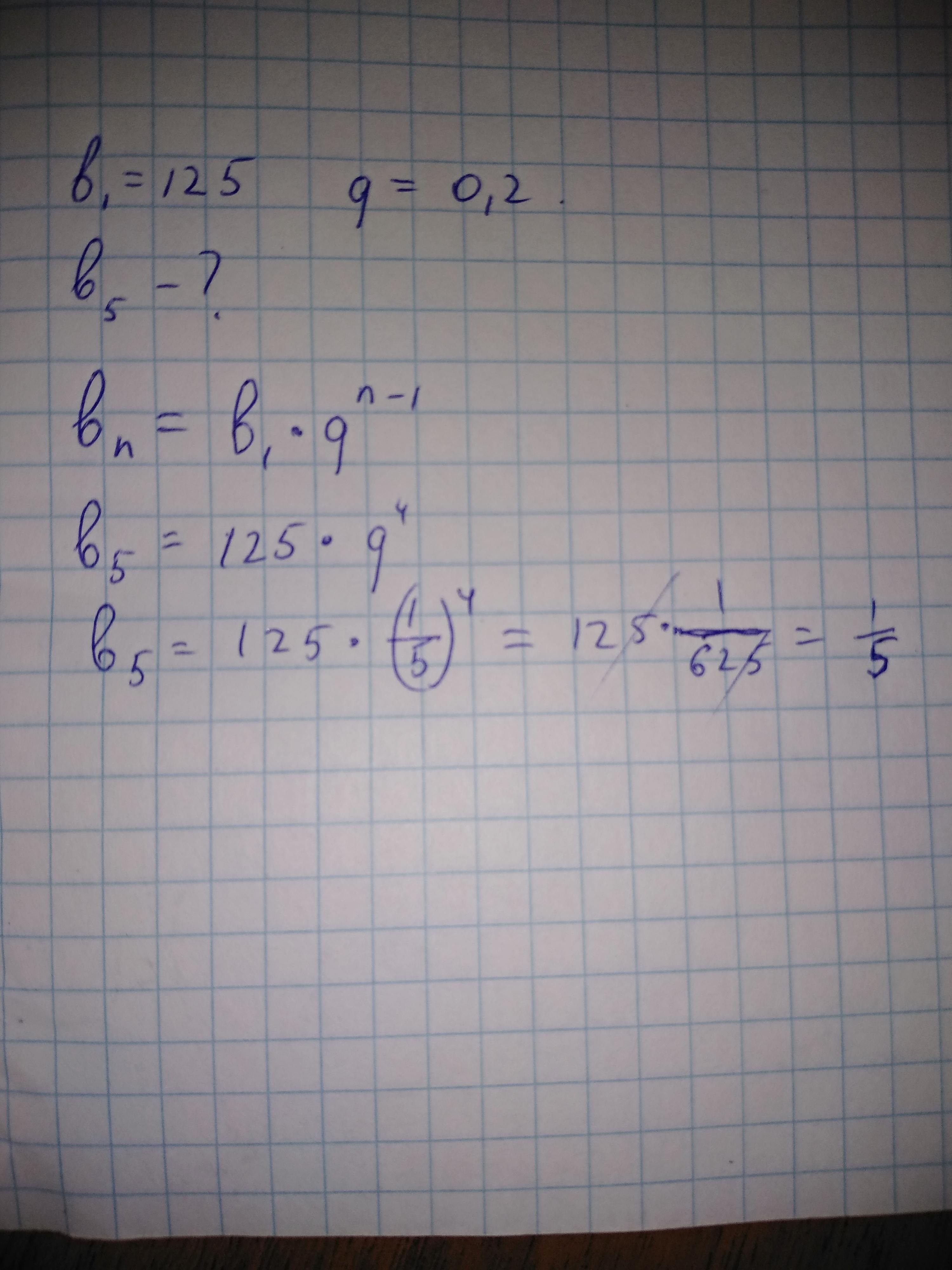
Пятый член геометрической прогрессии можно решить по следующей формуле.
Приложения:

Ilkhom777:
Что не понятно спрашивай
Вас заинтересует
2 года назад
2 года назад
8 лет назад
8 лет назад
9 лет назад
9 лет назад