• Предмет: Математика
  • Автор: parilovapolina01
  • Вопрос задан 3 года назад

жнайти производные следующих функций​

Приложения:

Ответы

Ответ дал: manyny06
1

Ответ:

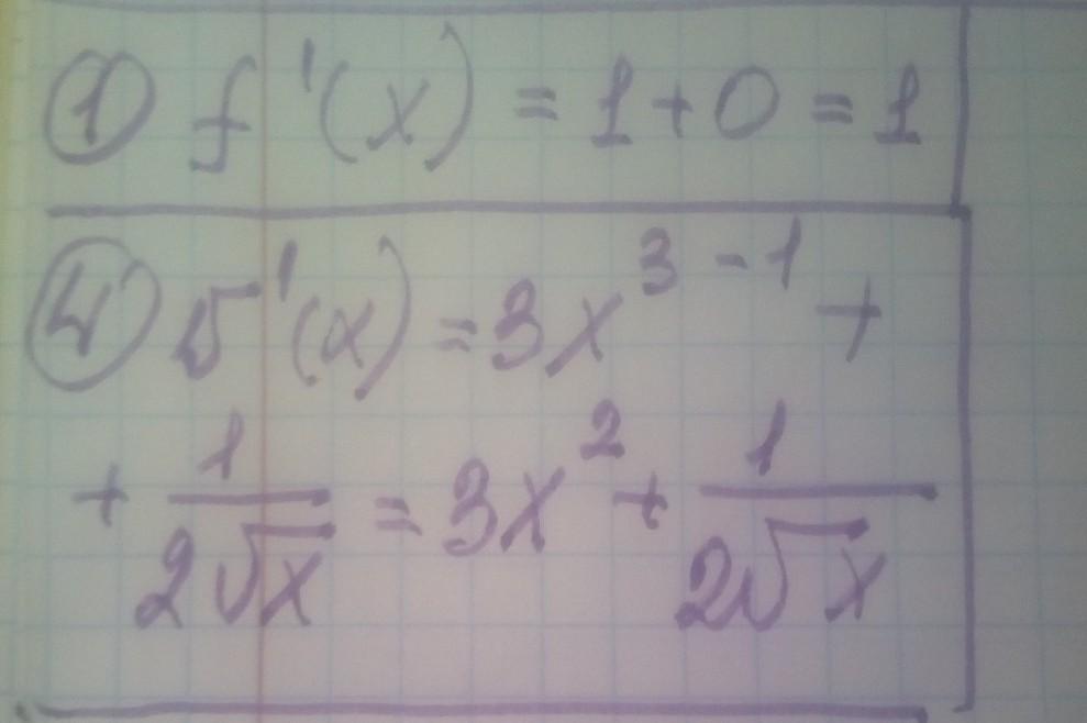
решение смотри на фотографии

Приложения:
Вас заинтересует