• Предмет: Математика
  • Автор: Tresch
  • Вопрос задан 3 года назад

Помогите пожалуйста!!!
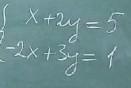
Решить линейное уравнения методом Гаусса​

Приложения:

Ответы

Ответ дал: VladUBIVEC
1

Ответ:    x = 13 / 7    y = 11 / 7

Пошаговое объяснение:

Ко второй строке матрицы прибавляем 2 первые строки

\left[\begin{array}{ccc}1&2&5\\-2&3&1\\\end{array}\right]  --> \left[\begin{array}{ccc}1&2&3\\0&7&11\\\end{array}\right]

От сюда

7y = 11 \\y = \frac{11}{7} \\x  = 5 - 2y\\x = 5 - 2*\frac{11}{7} \\x = \frac{13}{7}

Вас заинтересует