• Предмет: Математика
  • Автор: hasbih9781
  • Вопрос задан 3 года назад

ПОМОГИТЕ СРОЧНО ДАЮ 70 БАЛЛОВ!!!!

Приложения:

Ответы

Ответ дал: lalakuQQ
1

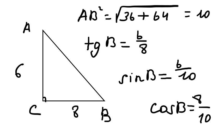
Ответ:

Пошаговое объяснение:

Приложения:

hasbih9781: помоги пж ещё в одном)
hasbih9781: там тоже 70 баллов
Вас заинтересует