Ответы
Ответ дал:
1
Ответ:
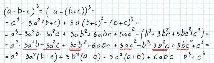
Может как-то так. но это не точно
Пошаговое объяснение:
Приложения:

Вас заинтересует
2 года назад
2 года назад
9 лет назад
9 лет назад