• Предмет: Алгебра
  • Автор: maksimpavlov08p
  • Вопрос задан 3 года назад

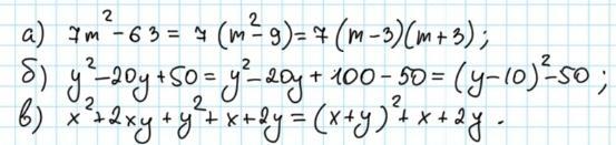
Разложить на множители многочлен: а) 7m2 – 63 б) y 2 – 20y + 50 в) х2 + 2ху + у2 + х + 2у


NNNLLL54: условие проверьте

Ответы

Ответ дал: AiMus
1

Ответ:

С последними двумя возникли сложности, не получилось разложить на множители.

Объяснение:

Приложения:
Вас заинтересует