• Предмет: Алгебра
  • Автор: krasavavaleron16
  • Вопрос задан 3 года назад

Разность квадратов двух чисел равна 45. Найти эти числа, если одно больше другого на 5​

Ответы

Ответ дал: AiMus
1

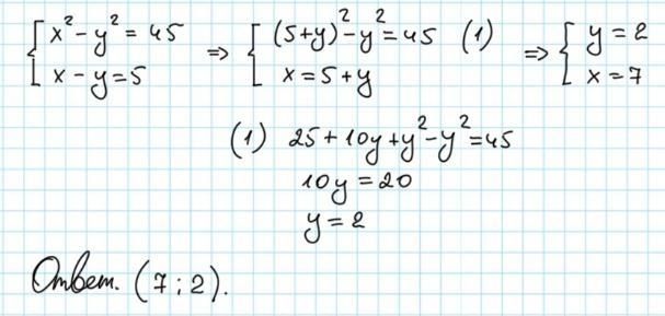
Ответ:

Решено.

Объяснение:

Приложения:

krasavavaleron16: спасибо бро
AiMus: пожалуйста)
AiMus: Странно конечно, что кто-то нарушение отметил 0_0
krasavavaleron16: я не отмечал
krasavavaleron16: извени я случайно
Ответ дал: NNNLLL54
1

Ответ:

\left\{\begin{array}{l}x^2-y^2=45\\x-y=5\end{array}\ \ \left\{\begin{array}{l}(x-y)(x+y)=45\\x-y=5\end{array}\right\ \ \left\{\begin{array}{l}5\cdot (x+y)=45\\x-y=5\end{array}\right

\left\{\begin{array}{l}x+y=9\\x-y=5\end{array}\right\ \oplus \ominus \ \left\{\begin{array}{l}2x=14\\2y=4\end{array}\right\ \ \left\{\begin{array}{l}x=7\\y=2\end{array}\right\\\\\\Otvet:\ \ (\, 7\, ;\, 2\, )\ .


matilda17562: Красивое и рациональное решение. Спасибо.
NNNLLL54: :)))
Вас заинтересует