Ответы
Ответ дал:
0
Ответ:
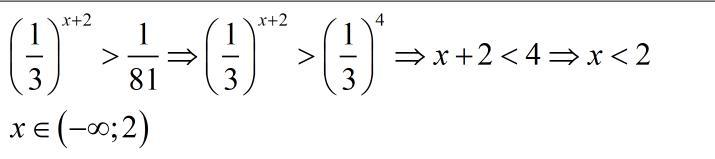
x∈(-∞;2)
Пошаговое объяснение:
//////////////////////////////////
Приложения:

Вас заинтересует
2 года назад
2 года назад
2 года назад
8 лет назад
9 лет назад