• Предмет: Алгебра
  • Автор: mashazauseva
  • Вопрос задан 3 года назад

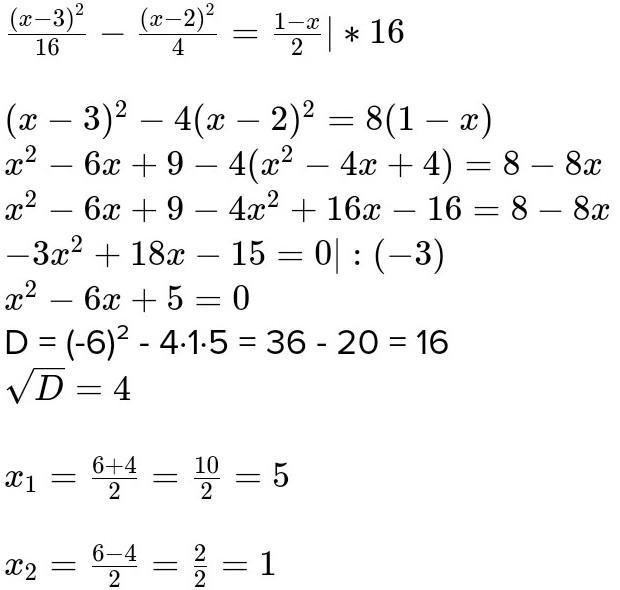
(x-3)^2/16-(x-2)^2/4=1-x/2 если что "/" не просто деление а дробь, котороя делит на чисельнык и знаменнык, это оооочень срочно!!!!!

Ответы

Ответ дал: anime3463
1

Ответ:

://///////////////////////

Приложения:
Вас заинтересует