• Предмет: Алгебра
  • Автор: tkachenko991
  • Вопрос задан 3 года назад

Помогите с решением!

Приложения:

Ответы

Ответ дал: milusza3568
0

Ответ:

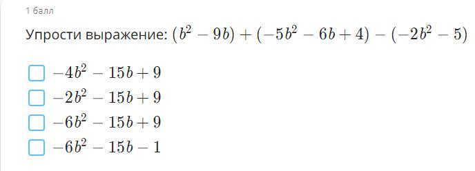
1. 2) -2b²-15b+9

2. -100

3. 2) -15y²-2

Вас заинтересует