• Предмет: Алгебра
  • Автор: misivhristina9
  • Вопрос задан 3 года назад

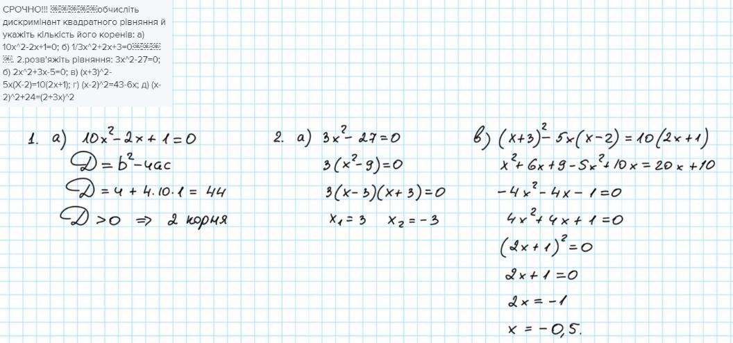
СРОЧНО!!! обчисліть дискримінант квадратного рівняння й укажіть кількість його коренів: а) 10х^2-2х+1=0; б) 1/3х^2+2х+3=0. 2.розв'яжіть рівняння: 3х^2-27=0; б) 2х^2+3х-5=0; в) (х+3)^2-5х(Х-2)=10(2х+1); г) (x-2)^2=43-6x; д) (x-2)^2+24=(2+3x)^2

Ответы

Ответ дал: AiMus
2

Ответ:

Решено частично

Объяснение:

Приложения:
Вас заинтересует