• Предмет: Математика
  • Автор: davidmicka2008
  • Вопрос задан 3 года назад

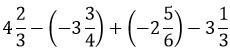
Пжжж допоможіть відає всі свої. Бали

Приложения:

Ответы

Ответ дал: Kotsipakksusha
1

Відповідь:

Покрокове пояснення:

Приложения:
Вас заинтересует