• Предмет: Химия
  • Автор: helyaaggg
  • Вопрос задан 3 года назад

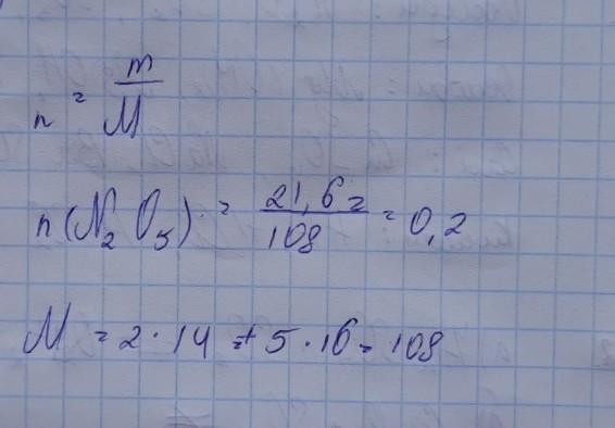
якій кількості речовин відповідають 21,6 г нітроген 6 оксиду. відповідь з обчисленнями

Ответы

Ответ дал: Angelina12345aaaaa
0

відповідь на 2 фото, на 1 дано, а на 2 розв'язок

Приложения:
Вас заинтересует