• Предмет: Математика
  • Автор: seregsp
  • Вопрос задан 3 года назад

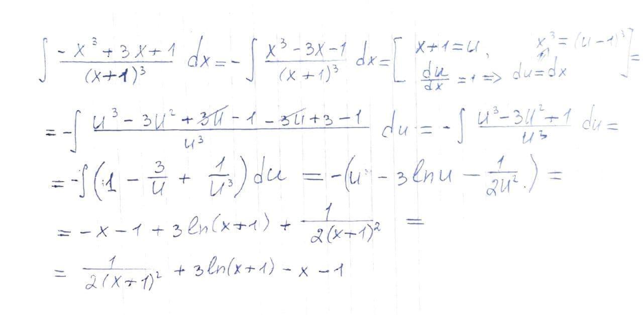
Вычислить неопределенный интеграл

Приложения:

Ответы

Ответ дал: daryanevdah
1

Ответ:

Пошаговое объяснение:

Приложения:
Ответ дал: Miroslava227
1

\int\limits \frac{ -  {x}^{3}  + 3x + 1}{ {(x + 1)}^{3} } dx \\  \\ x + 1 = t \\ x = t - 1\\ \\ -  {x}^{3}   + 3x + 1 = \\  =   -   {(t - 1)}^{3}  + 3(t - 1) + 1 = \\  =    - ( {t}^{3}   +  3t   - 3t {}^{2}   -  1) + 3t  - 3 + 1 =   \\  = -  {t}^{3} + 3 {t}^{2}  - 3t   + 1 + 3t - 2 =  \\  =  -  {t}^{3}  + 3 {t}^{2}  - 1\\   \\  dx = dt \\  \\ \int\limits \frac{( -  {t}^{3}  + 3t {}^{2}  - 1)}{t {}^{3} } dt = \int\limits( - 1 +  \frac{3}{t}  -  {t}^{ - 3} )dt =  \\  =  - t + 3ln |t|  -  \frac{ {t}^{ - 2} }{ - 2}  + C =  - t + 3ln |t|  +  \frac{1}{2 {t}^{2} }  + C=  \\  =  - x - 1 + 3ln |x + 1|  +  \frac{1}{2 {(x + 1)}^{2} }  + C

Приложения:
Вас заинтересует