• Предмет: Математика
  • Автор: Лена148
  • Вопрос задан 3 года назад

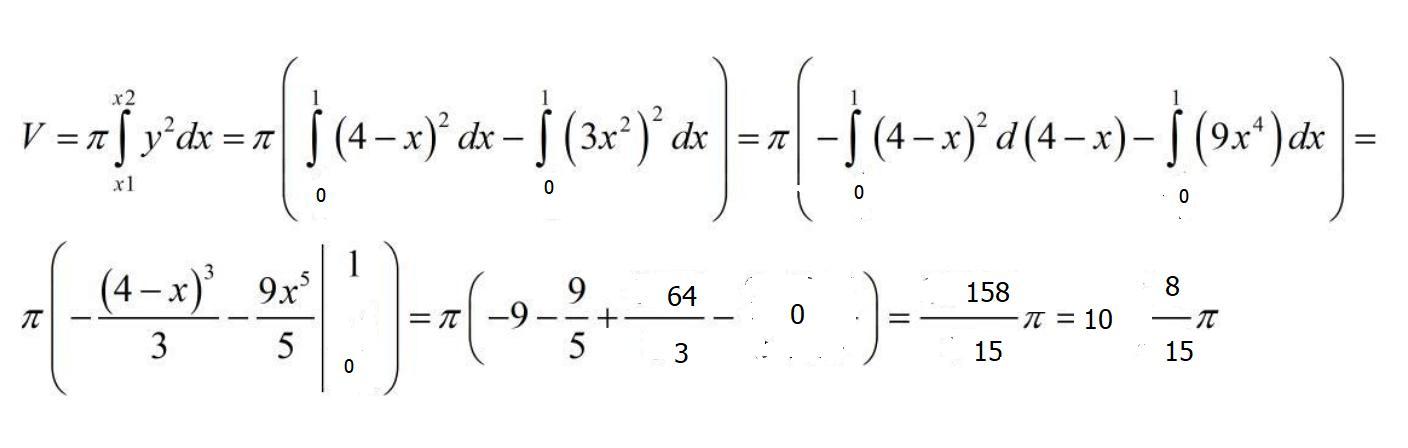
Найти объем тела, образованного вращением вокруг оси Ox фигуры, расположенной в первом квадрате и ограниченной заданными параболой, прямой и осью Ox
y=3x^2
y=-x+4

Ответы

Ответ дал: palilov243659
1

Ответ:

Пошаговое объяснение:

определим пределы интегрирования

3x²=-x+4⇒3x²+x-4=0⇒D=1+48=49, √D=7

x1=(-1-7)/6=-8/6=-4/3, x2=(-1+7)/6=1

принимаем x1=0, x2=1

Приложения:
Вас заинтересует