• Предмет: Математика
  • Автор: KySo4eKTorTiKa
  • Вопрос задан 3 года назад

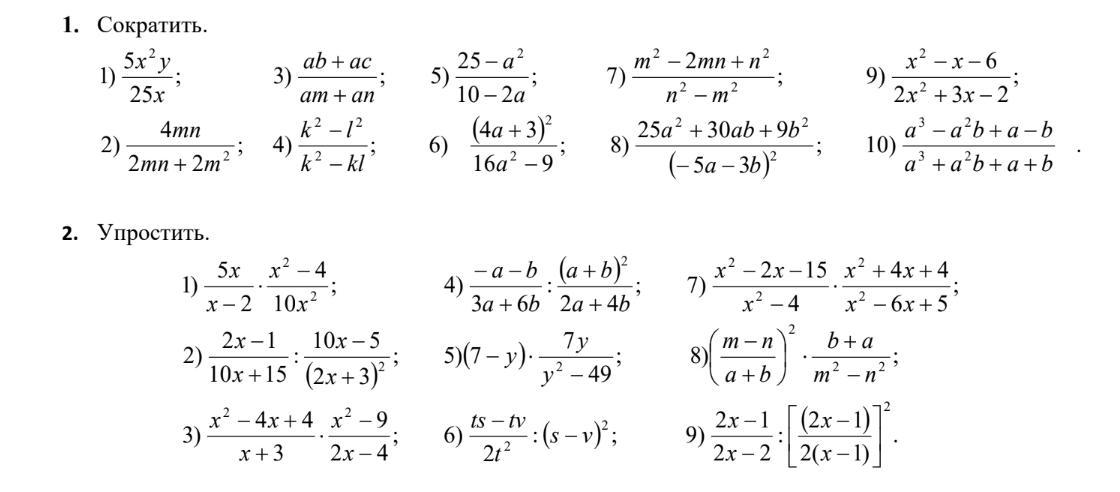
Помогите решить математику пжжж

Приложения:

Ответы

Ответ дал: ogabektoshpulatov108
0

Ответ:

ответы и объяснения в фотографии.

Приложения:
Вас заинтересует