Решите пожалуйста! Покажите на листке как делается! Ну очень нужно! Прошу ещё раз помощи!
Приложения:

Ответы
Ответ дал:
1
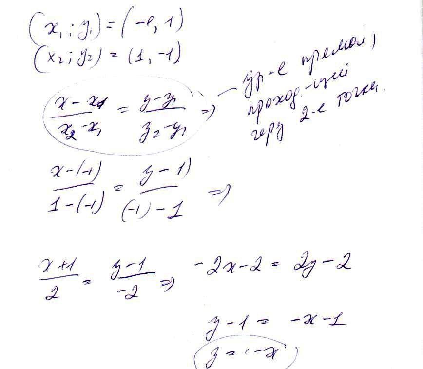
Ответ:
у= -х
вот линейное уравнение
Приложения:

Ответ дал:
1
Ответ:
y=-x
Объяснение:
на рис
Приложения:

Вас заинтересует
2 года назад
2 года назад
2 года назад
8 лет назад
8 лет назад
9 лет назад