• Предмет: Алгебра
  • Автор: oleksandrvolod
  • Вопрос задан 3 года назад

ОБЧИСЛИТИ !

2) знайдіть значення виразу

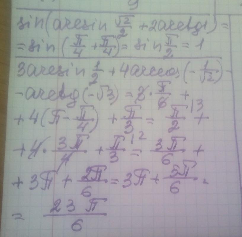
3arcsin ½ + 4arccos (-1/√2) - arctg (-√3)

дуже потрібно!​

Приложения:

Ответы

Ответ дал: manyny06
0

Ответ:

решение смотри на фотографии

Приложения:
Вас заинтересует