• Предмет: Математика
  • Автор: sashaizomska
  • Вопрос задан 3 года назад

надо найти производную
помогите,плиз

Приложения:

Ответы

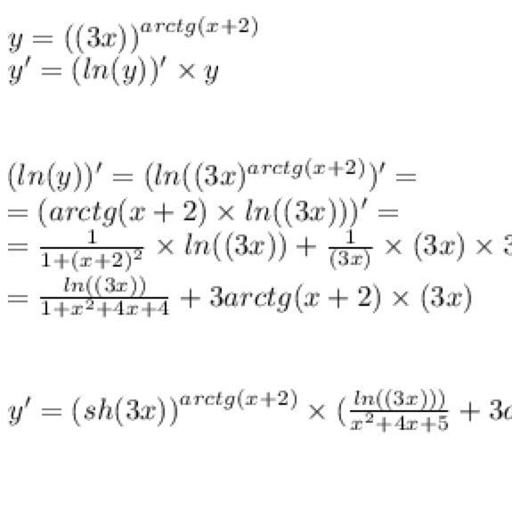
Ответ дал: Miroslava227
1

Ответ:

y =  {(\sh(3x))}^{arctg(x + 2)}

y' = ( ln(y))'  \times y

( ln(y)) ' = ( ln(\sh(3x) {}^{arctg(x + 2)} )'  =  \\  = (arctg(x + 2) \times ln(\sh(3x)))' =  \\  =  \frac{1}{1 +  {(x + 2)}^{2} }  \times  ln(\sh(3x))  +  \frac{1}{\sh(3x)}  \times \ch(3x) \times 3 \times arctg(x + 2) =  \\  =  \frac{ ln(\sh(3x)) }{1 +  {x}^{2}  + 4x + 4}  + 3arctg(x + 2) \times \cth(3x)

y' =  {(sh(3x))}^{arctg(x + 2)}  \times ( \frac{ ln(\sh(3x))) }{ {x}^{2} + 4x + 5 }  + 3arctg(x + 2) \times \cth(3x)) \\

Ответ дал: valeria2975
1
..................................
Приложения:
Вас заинтересует