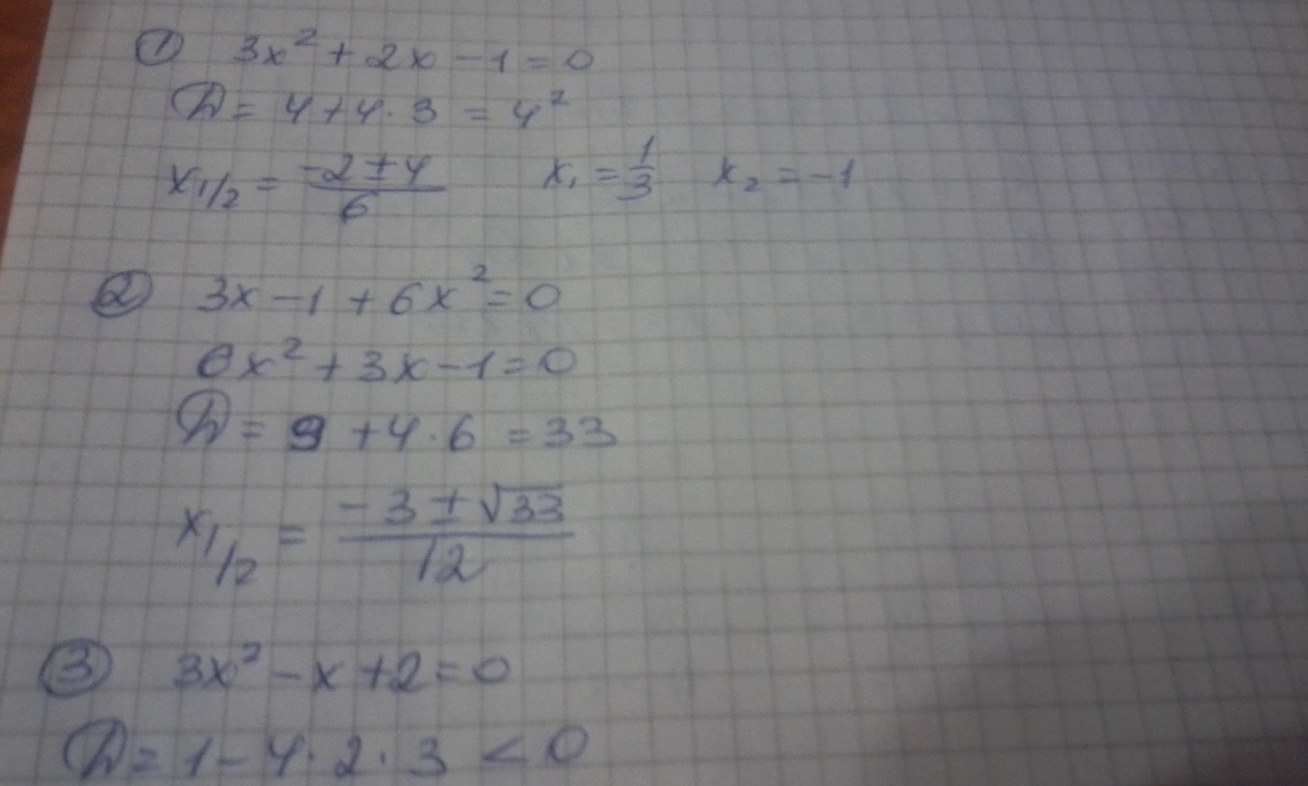
1) 3x^2 +2x-1=0
2) 3x-1+6x^2=0
3)3x^2 -x+2=0
4) x первый и х второй корни уравнения. (x-3)^2-16=(1-2x)^2
Ответы
Ответ дал:
0
,,,,,,,,,,,,,,,,,,,,,,,,,,,,,,,,,,,,,,,,,,,,,,,,,,,,,,,,,,,,,,,,,,,,,,,,,,,,,,,,,,,,,,,,,,,,,,,,,,,,,,,,,,,,,,,,,,,,,,,,,,,,,,,,
Приложения:


Ответ дал:
0
нашла ошибку. Щас исправлю
Ответ дал:
0
Хотя, нет, все правильно
Ответ дал:
0
извините, но я там корня не вижу, потому что дискриминант меньше нуля, значит корней нет
Вас заинтересует
2 года назад
8 лет назад
10 лет назад
10 лет назад
10 лет назад