• Предмет: Математика
  • Автор: Аноним
  • Вопрос задан 3 года назад

Решите развернуто пж срочно

Приложения:

Ответы

Ответ дал: smokedsunflover
0

Ответ:

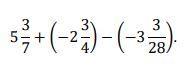
1) 5 3/7 - 2 3/4= 5 12/28 - 2 21/28= 2 19/28

2) 2 19/28 + 3 3/28= 5 22/28=5 11/14


Аноним: Спасибо но у меня тоже есть калькулятор дробей я просил развернуто
smokedsunflover: как бы калькуляторы есть у всех но мозги чтобы щитать не у всех) и мне кажется что все максимально развернуто
Ответ дал: s1051966
1

Ответ:

ответы г фотографии с решением

Приложения:
Вас заинтересует