Ответы
Ответ дал:
1
Ответ:
Пошаговое объяснение:
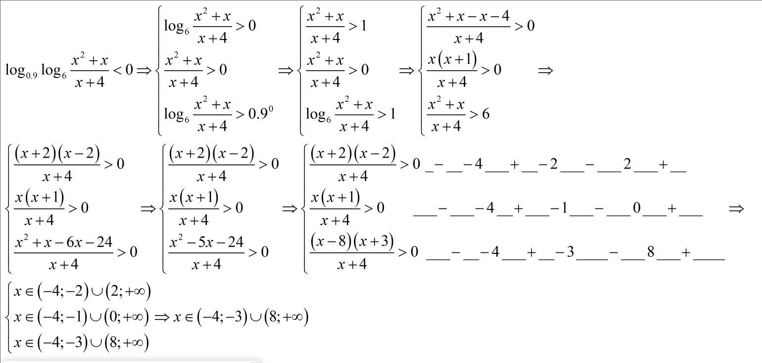
/////////////
Приложения:

zhannazr:
Спасибо
Вас заинтересует
2 года назад
2 года назад
2 года назад
2 года назад
8 лет назад
8 лет назад
9 лет назад