Ответы
Ответ дал:
3
Корней нет
Аноним:
А комплексные ?
Ответ дал:
3
Ответ:
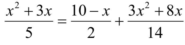
.........................
Приложения:

Вас заинтересует
2 года назад
2 года назад
2 года назад
2 года назад
8 лет назад