Ответы
Ответ дал:
1
Ответ:
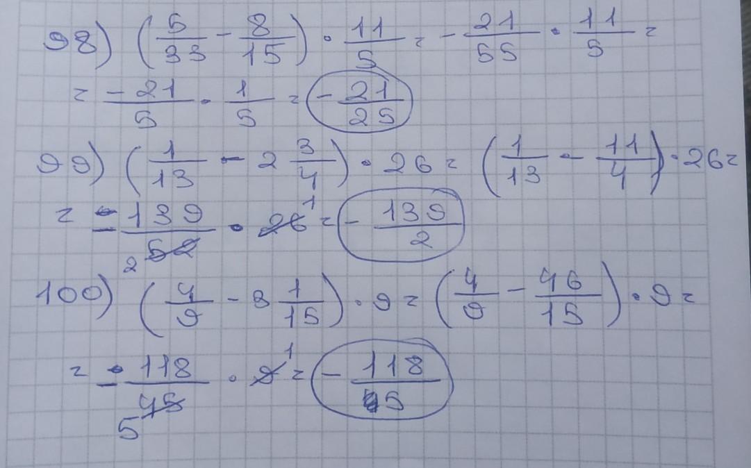
Решение на фото...
Объяснение:
Если можно отметь как лучший, сильно поможешь мне)))
Приложения:

Вас заинтересует
2 года назад
2 года назад
2 года назад
8 лет назад
8 лет назад
9 лет назад