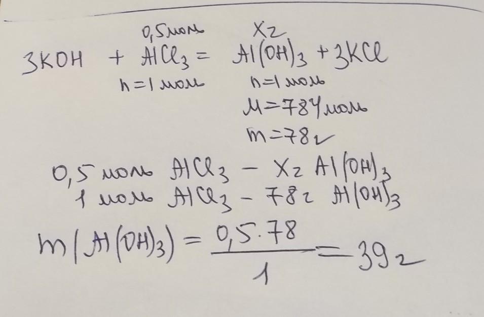
Обчисліть масу осаду, що утворився внаслідок взаємодії розчину калій гідроксиду із 0,5
моль розчину алюміній хлориду.
Ответы
Ответ дал:
1
Ответ:
ответ смотри во вложении
Приложения:

maksim365869:
дуже дякую все вірно (зрівнив з варіантами відповідей)
Ответ дал:
1
Ответ:
39г
Объяснение:
3KOH+AlCl₃→ 3KCl+Al(OH)₃↓
Mосадка=27+3(16+1)=27+51=78
mосадка= Mосадка*n=78*0.5моль=39
Вас заинтересует
2 года назад
2 года назад
2 года назад
8 лет назад
8 лет назад