• Предмет: Математика
  • Автор: gilkadmutro
  • Вопрос задан 3 года назад

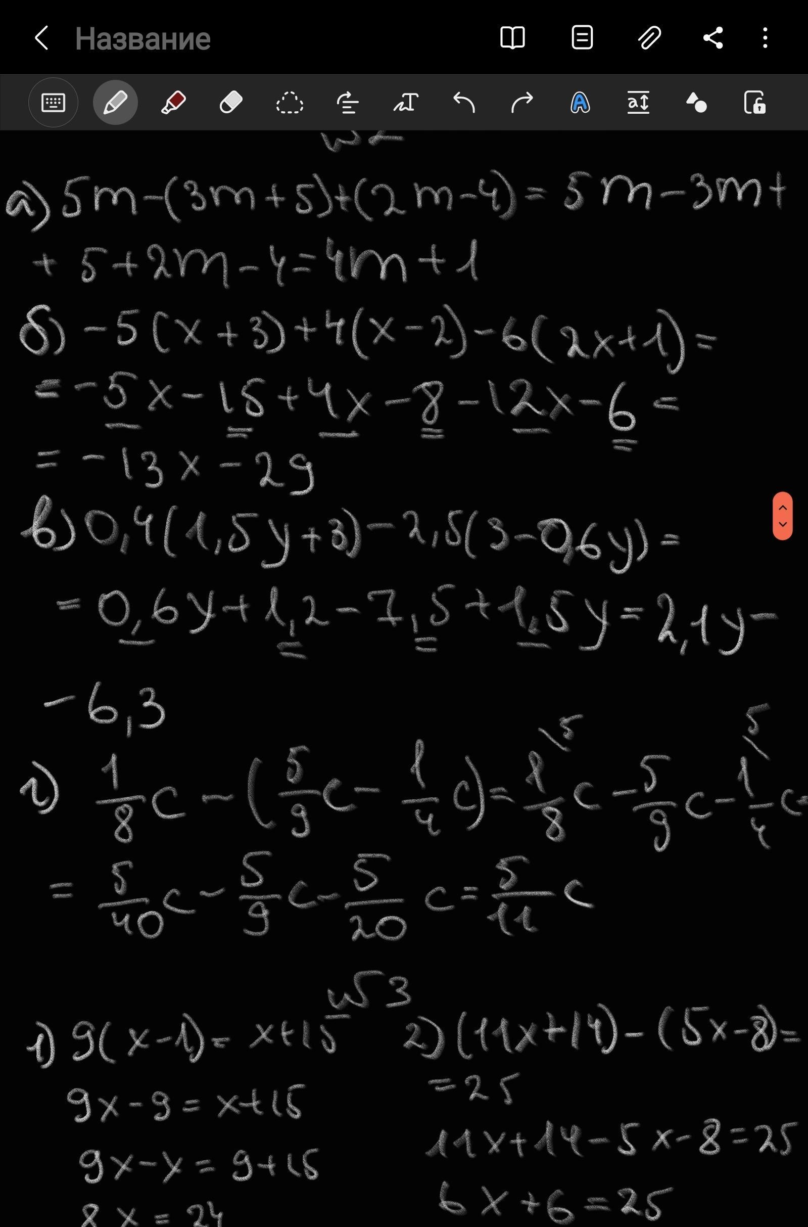
хелп нужна помощ прошу​

Приложения:

Ответы

Ответ дал: artgramejagpum
0

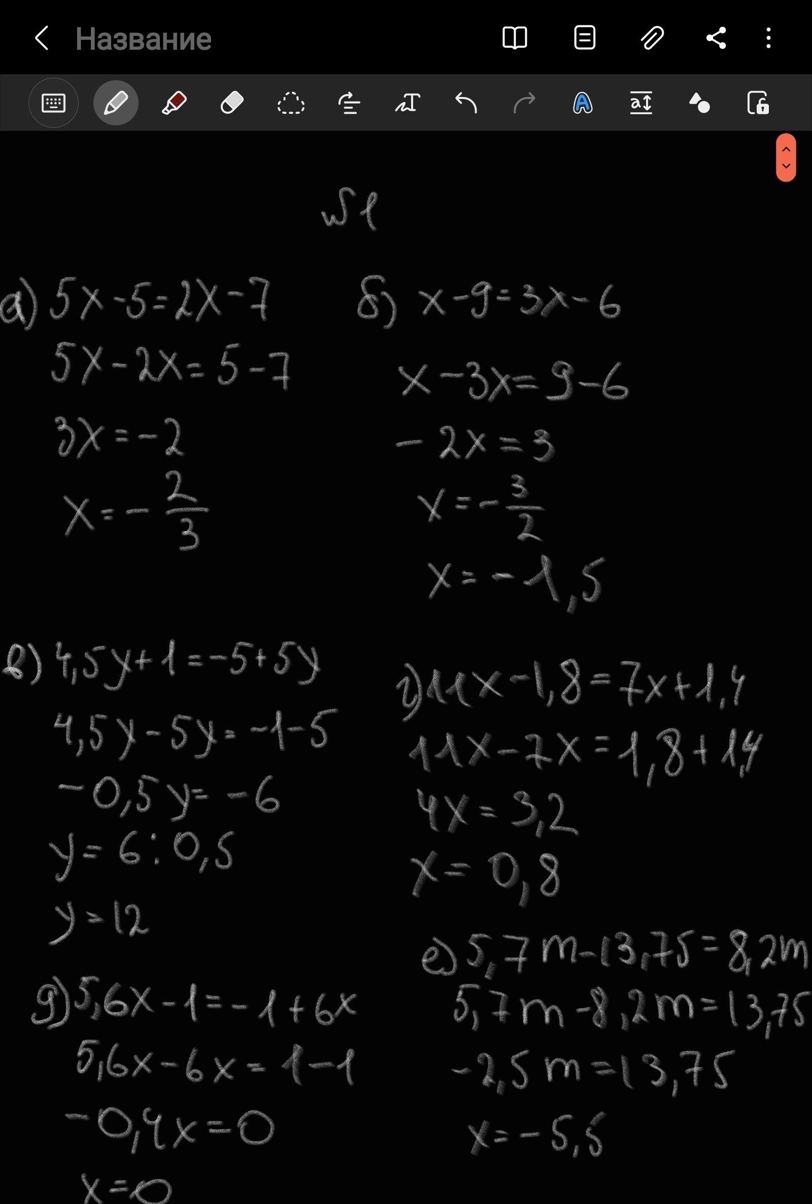
Решение на первые 3 номера в прикрепленной картинке

Приложения:
Вас заинтересует