• Предмет: Математика
  • Автор: moxake8493
  • Вопрос задан 3 года назад

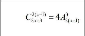
Решите уравнение ( Нужно полное решение)

Приложения:

Ответы

Ответ дал: iosiffinikov
1

Ответ:

х=10,5

Пошаговое объяснение:

число сочетаний в формуле условия

(2*х+3)!/(2х-2)!*(2х+3-2х+2)!=1/(5!)* (2*х+3))!/(2х-2)!

Число размещений

(2х+2)!/(2х+2-3)!=(2х+2)!/(2х-1)!

уравнение:

(1/120)*(2*х+3))!/(2х-2)!=4*(2х+2)!/(2х-1)!

или

1/480*(2х+3)*(2х-1)=1

(2х+3)*(2х-1)=480

4х*х+4х-3=480

4(х+0,5)^2-4=480

(x+0,5)^2=121

Два решения х=10,5 или х=-11,5, однако по ОДЗ

х-1 больше 0 . Кроме того 2х должен быть целым. Первый корень подходит.

Вас заинтересует