• Предмет: Геометрия
  • Автор: lucifermorningsstar
  • Вопрос задан 3 года назад

Помогите решить, геометрическая прогрессия

Приложения:

Ответы

Ответ дал: Katya211399
0

Відповідь:

Пояснення:

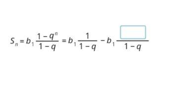
Там має бути q^n

Вас заинтересует