• Предмет: Алгебра
  • Автор: minibit60657
  • Вопрос задан 3 года назад

помогите срочно нужно!!!
заранее спасибо ​

Приложения:

Ответы

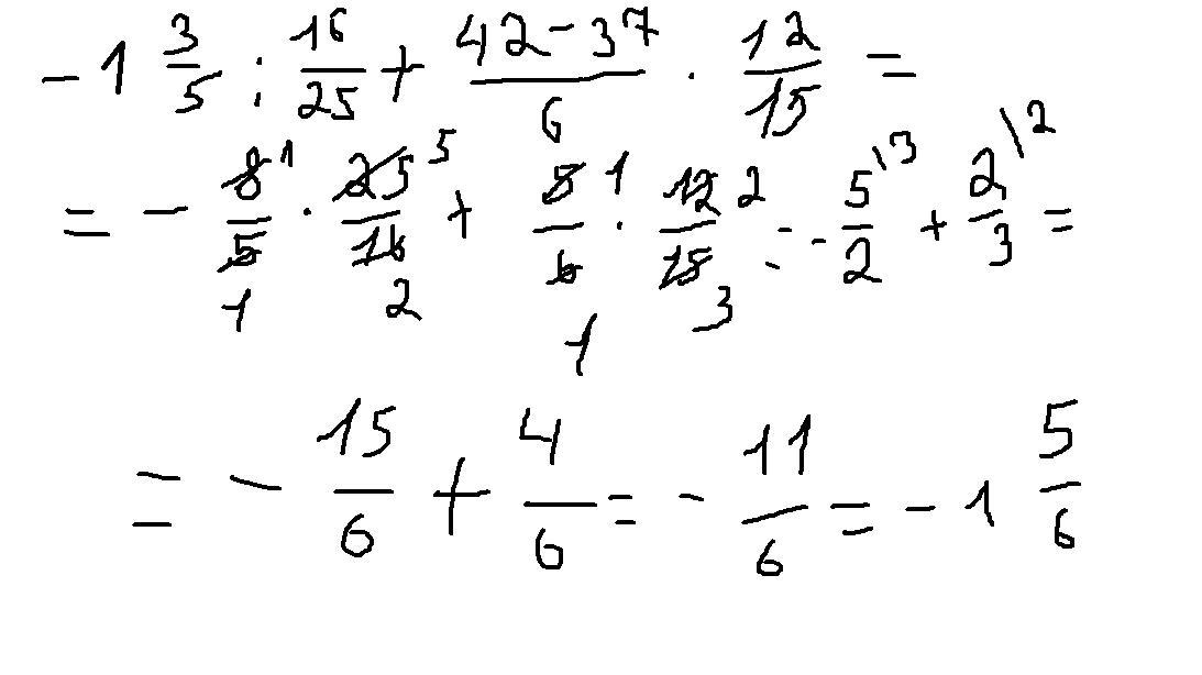
Ответ дал: nastastasik82
0

Ответ:

-11/6

Объяснение:

я так решила надеюсь правильно.

Приложения:
Ответ дал: inushka
0

Ответ:

Решение на рисунке

Объяснение:

Приложения:
Вас заинтересует