Ответы
Ответ дал:
1
Ответ:
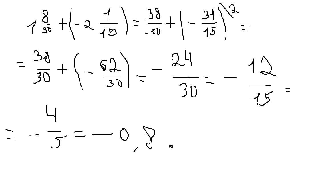
Решение на рисунке.
Пошаговое объяснение:
Приложения:

Вас заинтересует
2 года назад
2 года назад
8 лет назад