• Предмет: Математика
  • Автор: vovanpazdnikov
  • Вопрос задан 3 года назад

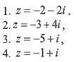
Завдання 1. Записати у тригонометричній формі наступні комплексні числа:

Приложения:

Ответы

Ответ дал: Artem808beats
1

Ответ:

1. Z0i

2.z7i

3.z5i

4.z1i

Вас заинтересует