Ответы
Ответ дал:
1
Ответ:
Объяснение:
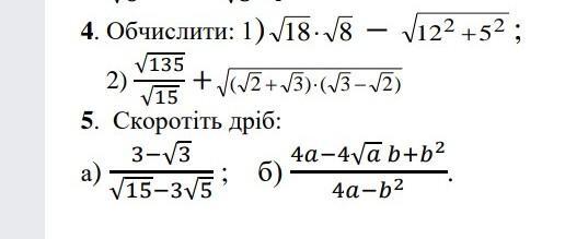
используем формулы: а²-b²=(a-b)(a+b) и а²-2ab+b²=(a-b)²
Ответ дал:
1
Ответ:
Объяснение:
Вынесения за скобки. Используем формулы сокращённого умножения .
Приложения:

Вас заинтересует
2 года назад
2 года назад
2 года назад
8 лет назад
8 лет назад