• Предмет: Математика
  • Автор: ruslanale200
  • Вопрос задан 3 года назад

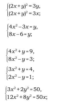
Срочно!!
Срочно!!
заранее спасибо.

Приложения:

Ответы

Ответ дал: solyanine
0

Ответ:

Пошаговое объяснение:

Приложения:
Вас заинтересует