• Предмет: Математика
  • Автор: katyasadov12
  • Вопрос задан 3 года назад

помогите пожалуйста!!!​

Приложения:

qurbanzadesurmeli: за 5 минут порешу
qurbanzadesurmeli: там очень много писать из за этого не много надо ждать
katyasadov12: хорошо
katyasadov12: я жду

Ответы

Ответ дал: solyanine
1

Ответ:

Пошаговое объяснение:

Приложения:

katyasadov12: СПАСИБО ОГРОМНОЕ
qurbanzadesurmeli: извини но первый ответ неправильный
solyanine: Ответ верный, проверил два раза
solyanine: У тебя неверное условие в первом примере, смотри внимательней. У меня верный ответ
qurbanzadesurmeli: ничего
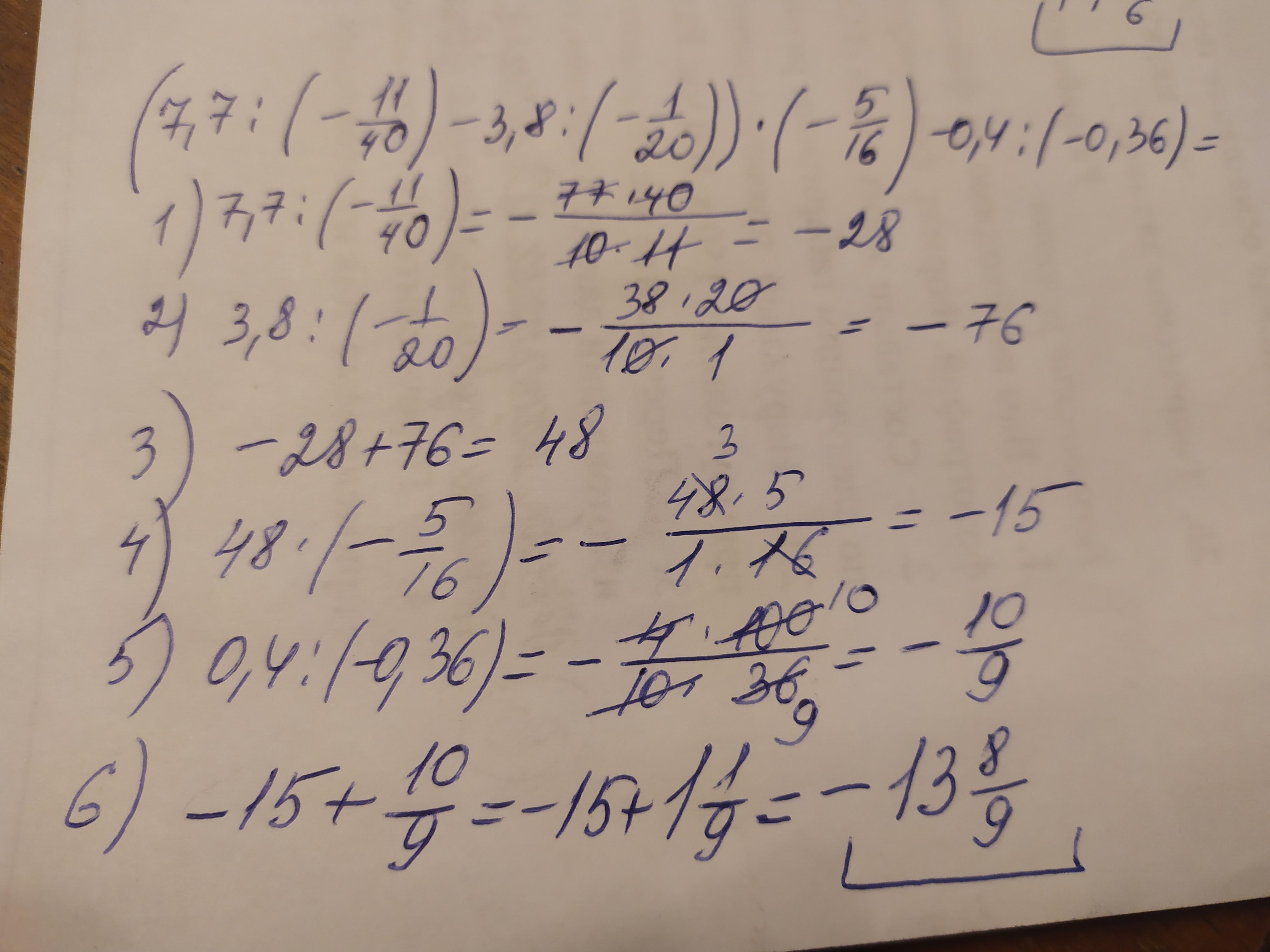
Ответ дал: qurbanzadesurmeli
1

Ответ: решение на листочке

Удачи!

Приложения:

qurbanzadesurmeli: если можно отметь пожалуйста ответ как лучший
qurbanzadesurmeli: пожалуйста
solyanine: У тебя неверное условие в первом примере. В условии дано -0,9, а у тебя -0,4. Поэтому у тебя неверный ответ, а у меня ответ верный. В следующий раз пиши внимательней.
qurbanzadesurmeli: хорошо
qurbanzadesurmeli: спасибо что сказала
Вас заинтересует