срочно дам 22 балла (фото)
Приложения:

bazuka73:
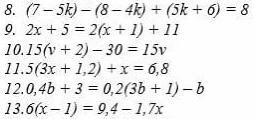
Раскрыть скобки и упростить?
Ответы
Ответ дал:
1
Ответ:
Пошаговое объяснение:
Приложения:

Ответ дал:
1
Ответ:
Пошаговое объяснение:раскрываем скобки, с переменной в одну сторону , все остальное в другую.
Приложения:


Вас заинтересует
2 года назад
2 года назад
2 года назад
8 лет назад
9 лет назад