Ответы
Ответ дал:
0
Ответ:
5х+3 = 2х
5х-2х = -3
3х = -3
х = -1
Ответ дал:
1
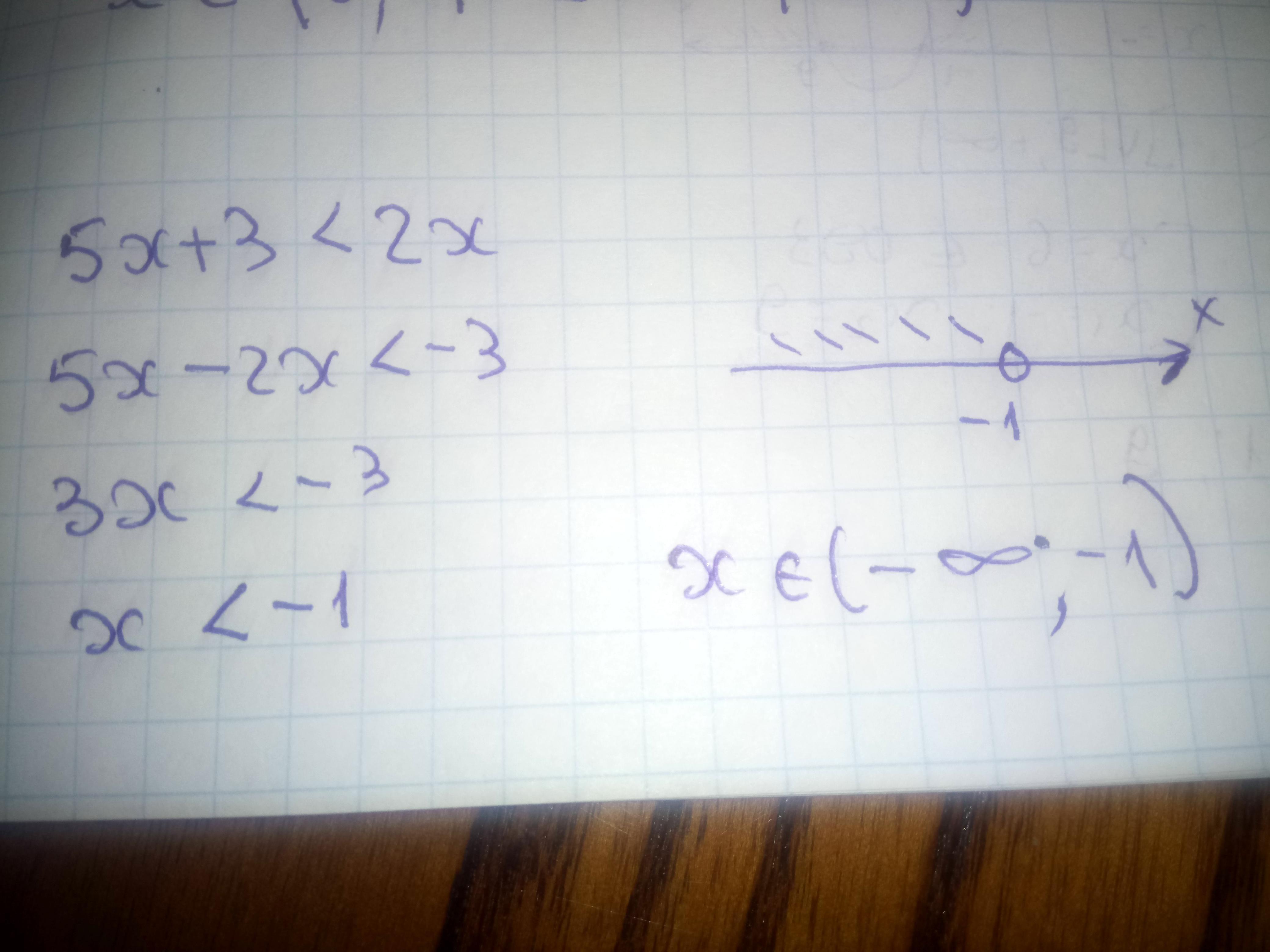
Решение задания прилагаю
Приложения:

Вас заинтересует
2 года назад
2 года назад
2 года назад
8 лет назад
8 лет назад
9 лет назад